注射用胸腺五肽
2017-06-23 14:19 点击:

【药品名称】
通用名:注射用胸腺五肽
英文名:Thymopetin for Injection
汉语拼音:Zhusheyong Xiongxianwutai
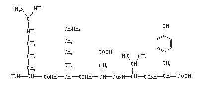
本品主要成份为胸腺五肽,其化学名称为:N-[N-[N-[NαL-精氨酰-L- 赖氨酰]-L-α-天门冬氨酰]-L- 缬氨酰]-L-酪氨酸
其结构式为:

分子式:C30H49N9O9
分子量:679.77
【性状】本品为白色冻干疏松块状物或粉末。
【药理毒理】
本品为免疫双向调节药。具有诱导和促进T淋巴细胞及其亚群分化、成熟和活化的功能,调节T淋巴细胞的比例,使CD4+/CD8+趋于正常;调节和增强人体细胞免疫功能的作用,能促使有丝分裂原激活后的外周血中的T淋巴细胞成熟,增加T细胞在各种抗原或致有丝分裂原激活后各种淋巴因子(如:α、γ干扰素、白介素2和白介素3)的分泌,增加T细胞上淋巴因子受体的水平。它同时通过对T辅助细胞的激活作用来增强淋巴细胞反应。此外,本品可能影响NK前体细胞的趋化,该前体细胞在暴露于干扰素后变得更有细胞毒性。因此,本品具有调节和增强人体细胞免疫功能的作用。
【适应症】
(1)用于18岁以上的慢性乙型肝炎患者。
(2)各种原发性或继发性T细胞缺陷病(如儿童先天性免疫缺陷病)。
(3)某些自身免疫性疾病(如类风湿性关节炎、系统性红斑狼疮等)。
(4)各种细胞免疫功能低下的疾病。
(5)肿瘤的辅助治疗。
【用法用量】
肌肉注射,用前加灭菌注射用水1ml溶解,一次1瓶,一日
1~2次,15~30日为一个疗程,或遵医嘱。
【不良反应】
个别可见恶心、发热、头晕、胸闷、无力等不良反应,少数患者偶有嗜睡感。
【禁忌】对本品有过敏反应者或器官移植初期需免疫抑制者禁用。
【注意事项】
(1)本品通过增强患者的免疫功能而发挥治疗作用,故而对正在接受免疫抑制治疗的患者(例如器官移植受者)应慎重使用本品,除非治疗带来的裨益明显大于危险性。
(2)慢性乙型肝炎患者治疗期间应定期检查肝功能。
(3)18岁以下患者慎用。
【孕妇及哺乳期妇女用药】
动物生育研究显示,在对照组及本药治疗组,其胚胎异常影响无任何差异。目前尚不知道本药是否对胚胎有伤害,或是否影响生育能力。故本药只能在十分必要时才给予孕妇使用。目前尽管未证实本品经人乳排出,但用于哺乳期妇女仍应特别慎重。
【儿童用药】在18岁以下患者,本品的安全性和有效性尚未确立。
【药物相互作用】
(1)本品与许多常用药物合并使用,其中包括干扰素、消炎药、抗菌素、激素、镇痛药、降压药、利尿药、治疗心血管疾病的药物、中枢神经系统药物、避孕药,没有任何干扰现象出现。
(2)本品与干扰素合用,对于改善免疫机能有协同作用。
【药物过量】目前尚无任何关于人体过量(治疗或意外)的报道。
【规格】1mg
【贮藏】密闭,在凉暗处保存。
【包装】西林瓶,10瓶/盒。
【有效期】24个月
【批准文号】国药准字H20058574
【生产企业】
企业名称:海南双成药业股份有限公司
地 址:海南省海口市秀英区药谷兴国路16号
邮政编码:570311
电话号码:0898-68510103
传真号码:0898-68652226
网址:www.shuangchengmed.com






